In 3D conformal therapy, several factors influence how well the target volume can be covered with the prescribed dose: target size, its location, proximity of critical organs, and also target shape. In the example below, the shape on the left is much more challenging than the one on the right.

In our recent paper, we tried to parametrize target shape with a single parameter. We chose sphericity as defined by Wadell back in 1935, that is, as a ratio between the surface area of a sphere having the same volume as the given solid body, and the surface area of that solid body. A similar parameter – the ratio between the volume of a body and the volume of a sphere with the surface area equal to the surface area of the body – has been used to determine the shapes of phospholipid vesicles, and it is likely the list is far from complete.
A minor obstacle is that treatment planning system readily provide the volume of an object (target volume or organ at risk), but not its surface area. However, we can employ the onion-like hierarchy of target volume structures as defined by ICRU Report 50, and define “area” as a ratio between the difference of the PTV volume and the CTV volume and the safety margin used to construct PTV from CTV. This area corresponds to neither CTV nor PTV, but it corresponds fairly well to the average of the two, and overall, such pseudo-sphericity behaves very similarly to the sphericity defined by Wadell. The appendix of the above mentioned paper brings the necessary maths.

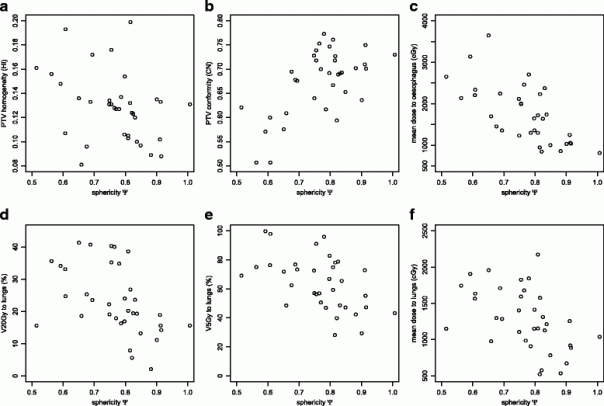
We also evaluated the influence of target sphericity on various dosimetric parameters in dynamic conformal arc therapy (DCAT) of lung cancer. PTV homogeneity was found to be moderately negatively correlated with the (pseudo)sphericity, and PTV conformity moderately positively correlated to it. The mean dose to oesophagus exhibited a strong negative correlation, and all three lung parameters evaluated – the percentage of lungs by volume exposed to the dose equal to 20 Gy or more (V20Gy), percentage of lungs by volume exposed to the dose 5 Gy or more (V5Gy), and the mean dose to lungs (MLD) – exhibit moderate negative correlation.